background image

 

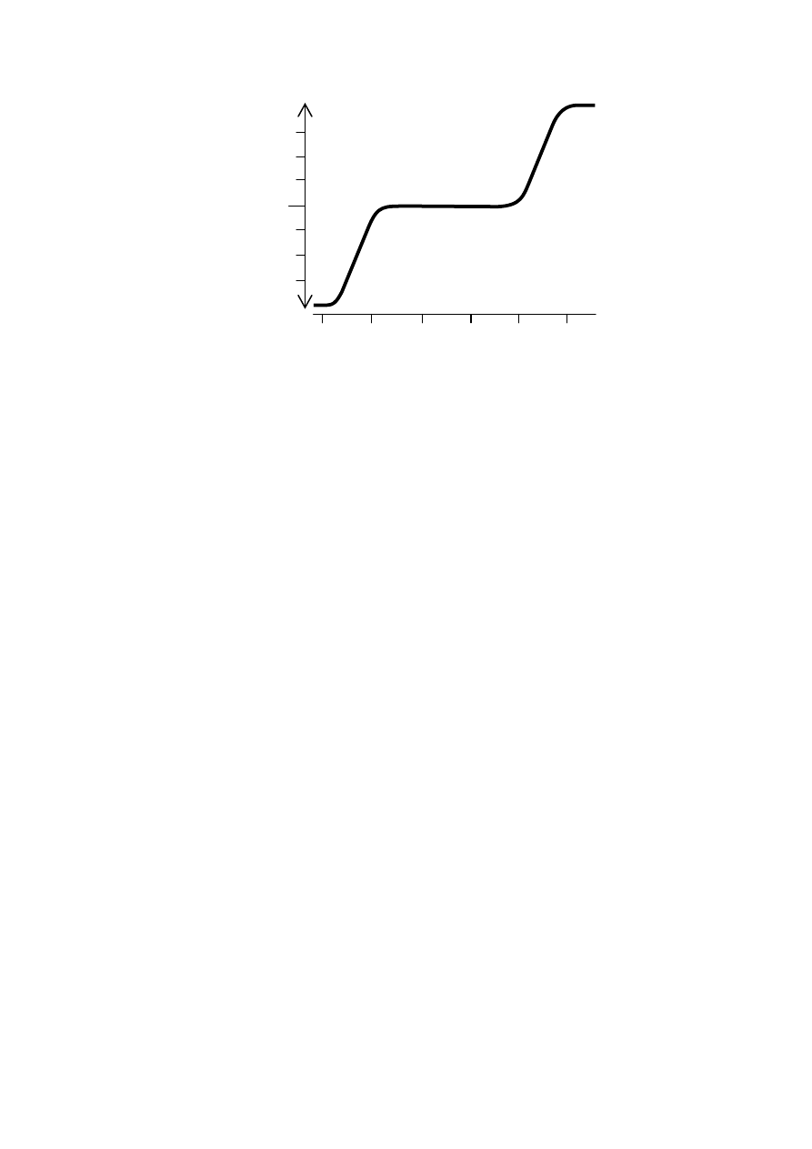
Рисунок – Зависимость подвижности глицина от величины рН 

 

Значения

 

p

K

a

 2,2 и 9,9 совпадают с точками перегиба графика. Так как 

соответствующие  функциональные  группы  на  50  %  ионизированы  при  тех 
значениях, где pH = p

K

a

, то электрофоретическая подвижность в этих точках 

составляет  половину  от  величины,  наблюдаемой  для  полностью 
ионизированного  катиона  и  аниона,  существующего  при  очень  низком  и 
очень  высоком  значении  pH,  соответственно.  Цвиттер-ион,  который 
существует  в  промежуточном  диапазоне  значений  pH,  электрически 
нейтрален и имеет нулевую подвижность. 

Влияние  ионной  силы  и  температуры. 

Электрофоретическая 

подвижность  уменьшается  с  увеличением  ионной  силы  применяемого 
электролита. Ионная сила µ определяется как: 

μ

= 0,5

� 𝐶

𝑖

𝑍

𝑖

 ,

 

где

  C

i

 –  концентрация иона, моль/л;

 

 

Z

i

  –  валентность иона. 

Для  буферных  растворов,  в  которых  и  анион,  и  катион  являются 

одновалентными, ионная сила равна молярности. 
 

Ионная  сила  электролитов,  используемых  для  электрофореза,  обычно 

выбирается в пределах от 0,01 до 0,10, что зависит от состава образца, так как 
буферная емкость должна быть достаточно большой, чтобы поддерживалось 
постоянное значение pH по области расположения зон компонентов. 

От

но

сит

ел

ьна

я 

по

дв

иж

но

ст

ь 

к к

ат

од

у    ←0→    к

 а

нод

у 

  1          3          5          7          9         11  рН 

Предыдущая <  | 632  | > Следующая  | Главная  | pharma-14@mail.ru |  pharmacopeia.ru | Скачать в PDF