background image

 

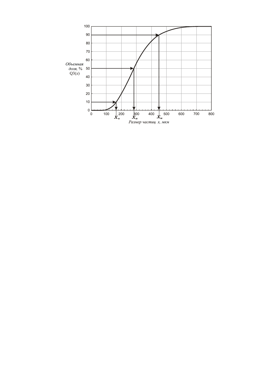
x

 – размер частиц, определяемый как диаметр объема эквивалентной сферы; Q3(

x

) – 

объемная доля частиц с размером 

x

 и менее; 

x

10

x

50

,

 x

90

 – размер частиц, 

соответствующий объемной доле 10, 50 и 90 % соответственно

  

Рисунок 2 – Интегральное объемное распределение частиц по размеру 

 

Калибровка  прибора.

  Работа  прибора  базируется  на  основных 

принципах  рассеяния  лазерного  излучения  при  условии  идеализированных 
свойств частиц, поэтому калибровка прибора перед измерением не требуется. 
Проверку правильности работы прибора можно осуществить путем измерения 
сертифицированного  стандартного  материала,  состоящего  из  частиц 
известного распределения по размеру. 

Поверка  системы

.  Работу  прибора  необходимо  подтверждать  через 

регулярные  интервалы  времени  или  с  надлежащей  частотой.  Поверку 
системы  производят  с  использованием  контрольного  материала,  известного 
распределения  по  размеру.  Средние  значения  трех  измерений  должны 
отличаться от установленного значения не более чем на 10 % для 

x

50

 и не более 

чем на 15 % для 

x

10

 и 

x

90

. Для 

< 10 мкм эти величины необходимо удвоить. 

Повторяемость.

 Предпочтительно использование сертифицированных 

или  стандартных  материалов,  состоящих  из  сферических  частиц  известного 
распределения  по  размеру,  с  размерными  группами,  отличающимися  по 
размеру  более  чем  в  10  раз.  Действие  прибора  считается  соответствующим 
требованиям,  если  среднее  значение 

x

50

  по  крайней  мере  трех  независимых 

Предыдущая <  | 559  | > Следующая  | Главная  | pharma-14@mail.ru |  pharmacopeia.ru | Скачать в PDF