background image

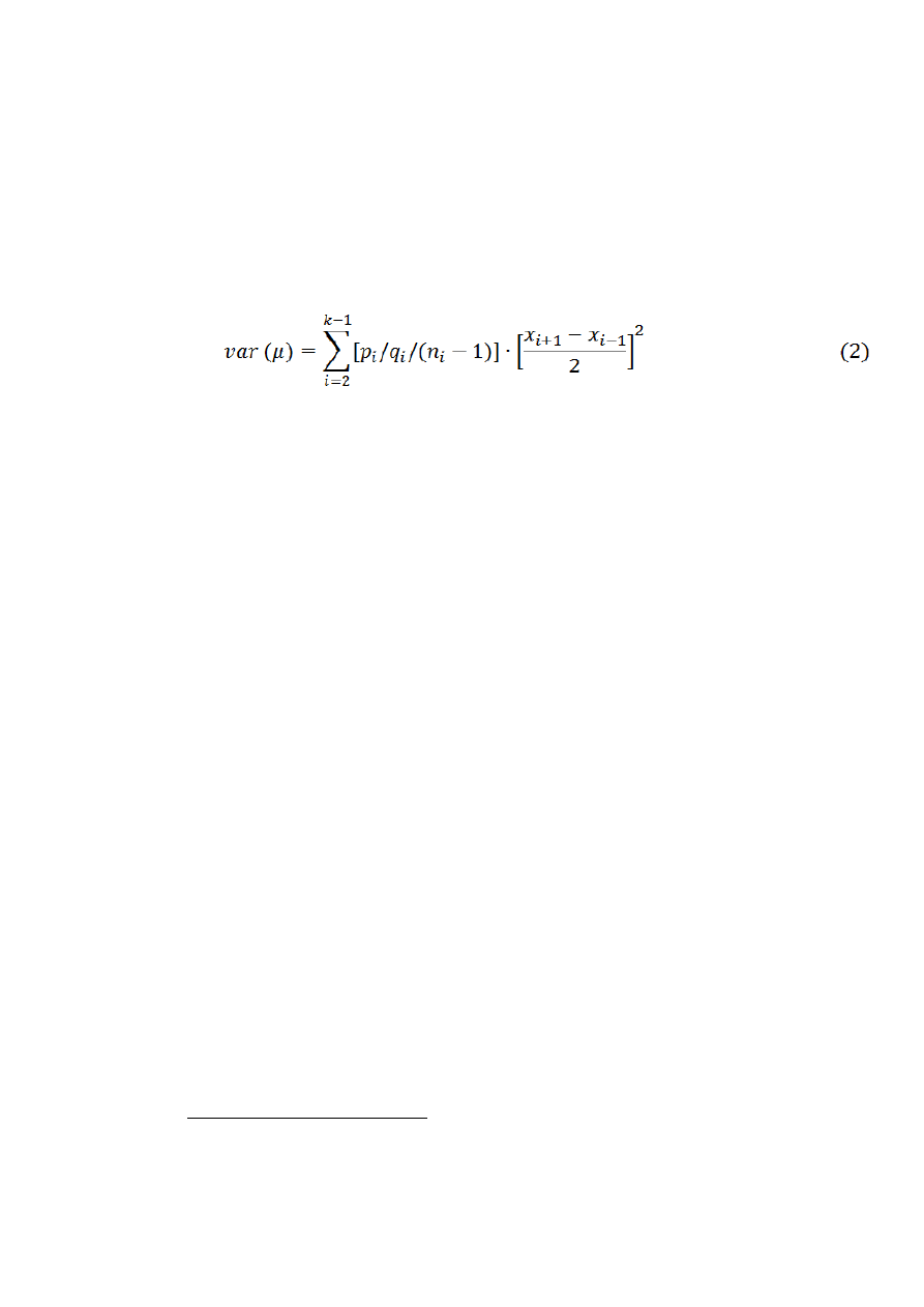
p

i

 – доля положительных результатов в эксперименте с n

i

 количеством 

повторностей,  которые  анализировались  отдельно  для  каждой 

концентрации. 

Расчет доверительных интервалов для установленных значений предела 

обнаружения в этом случае проводят с помощью формулы 2. 

где 

q

i

 = 1 - 

p

i

 и 

n

i

 ≥ 2.

 

Для  корректного  применения  данной  формулы  необходимо  соблюдать 

ряд условий: 

 

анализируют  не  менее  3  различных  концентраций  клеток 

микроорганизмов, выполняя не менее 3 определений; 

 

размер анализируемого образца должен  быть одинаковым для каждого 

концентрационного уровня; 

 

должен  быть  получен  хотя  бы  частичный  положительный  ответ  как 

минимум для одного концентрационного уровня (в противном случае расчет 
доверительных интервалов будет невозможен); 

 

одна  из  выбранных  концентраций  должна  обеспечивать  100% 

положительных результатов; 

 

одна  из  концентраций  должна  давать  0%  положительных  ответов  – 

отрицательный контроль; 

 

равные  интервалы  между  log  концентраций  и  равное  количество 

повторностей  для  каждого  уровня  предпочтительно,  однако  это  условие  не 
является обязательным. 

Критерий  приемлемости.  Предел  обнаружения  валидируемого  метода 

должен быть не выше, чем для референсного метода, т.е. количество клеток, 
определяемое валидируемым методом должно быть равным или меньшим, чем 
обнаруживаемое референсным методом.  

Предыдущая <  | 432  | > Следующая  | Главная  | pharma-14@mail.ru |  pharmacopeia.ru | Скачать в PDF