background image

 

Приложение 1 

 

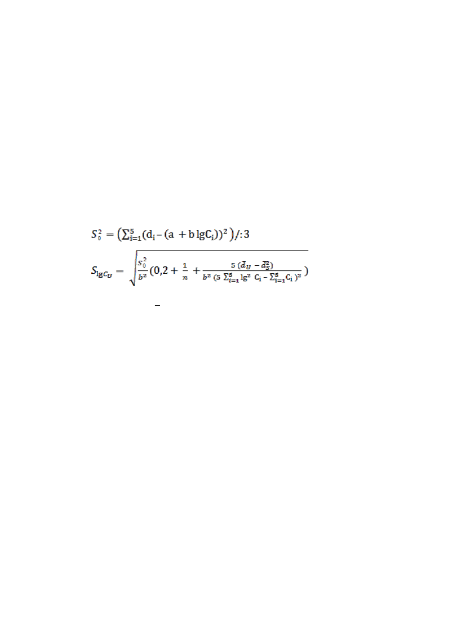
Вычисление ошибки логарифма активности испытуемого 

S

lg

C

u

 прово-

дится  по  ОФС  «Статистическая  обработка  результатов  определения  специ-
фической фармакологической активности лекарственных средств биологиче-
скими методами». 

Сначала вычисляют величину дисперсии 

S

2

0

, характеризующую раз-

брос значений 

d

1

d

2

d

3

d

4

d

5

 относительно прямой 

a

 + 

b

 

lg 

C

где 

п

  —  число  параллельных  испытаний  величины 

С

u

,  приведенных  в 

опыте с одной стандартной кривой;  

d

u

 — среднее значение диаметра зон задержки роста для испытуемого, 

полученное по 

n

 

испытаниям; 

 

d

s

 — среднее значение диаметра зон задержки роста для контрольной 

концентрации, полученное по тем же 

n

 испытаниям. 

Число степеней свободы величины 

S

lgСu

 равно 3. 

Пример.

 Вычислим 

S

lgCu

 с использованием данных примера, приве-

денного в основном тексте статьи для иллюстрации вычисления парамет-
ров стандартной кривой. 

Расчеты 

S

2

0

 удобно проводить с помощью следующей табл. 5. 

Предыдущая <  | 1300  | > Следующая  | Главная  | pharma-14@mail.ru |  pharmacopeia.ru | Скачать в PDF